

Другой ветер, да я уже понял, что там про тот рейтинг который вообще, потому что новый рейтинг там не обсуждали за отсутствием оного на тот момент. Я имею ввиду, что все то, что писалось там про "старый" рейтинг в плане планки партий более чем применимо и к новому годовому, 100 партий за год это реально гон 


Другой ветер, да я уже понял, что там про тот рейтинг который вообще, потому что новый рейтинг там не обсуждали за отсутствием оного на тот момент. Я имею ввиду, что все то, что писалось там про "старый" рейтинг в плане планки партий более чем применимо и к новому годовому, 100 партий за год это реально гон
Антон Городецкий
, ну я могу попозже рассчитать с другим минимумом и сравним, кто выпадет из рейтинга)
Но вы ж понимаете, что маловероятно, что анстоп вылетит с первого места в те годы, когда он играл… 
«О гордости, предательстве и братстве закончена история моя! И если не посмеешь ты вмешаться, я закрываю книгу бытия…»


Другой ветер, так когда играл это на здоровье 
Но ограничение в 100 игр оставляет большой простор для манипуляций (подбор состава партии и т.п.)
* это все разумеется применительно именно к сумраку и (наверно) крестам




Я же даже ссылку дал на тему, где она описана)
Мы уже это проходили в 2020 году. Там не формула, а общие рассуждения.
В чем проблема сказать полную формулу, а не тыкать в тему? Чтобы каждый мог сесть и посчитать рейтинг.
Я уже в который раз прошу, но что ты, что анстоп, делать этого не хотите.
Сколько нам осталось в этом грёбаном аду?...

Другой ветер, так когда играл это на здоровье
Но ограничение в 100 игр оставляет большой простор для манипуляций (подбор состава партии и т.п.)
* это все разумеется применительно именно к сумраку и (наверно) крестам
С 2016 по 2018 год. Когда Анстоп становился первым на сумраке за год, знаешь сколько раз Анстоп появлялся хотя бы в списке рейтинга игроков за месяц?
Из 36 месяцев, он присутствовал в списке лишь 5 раз 
PS Пасаны и девчата, кто хочет поздравить сделайте сейчас, кто знает когда Маяку вздумается тему закрыть


В чем проблема сказать полную формулу, а не тыкать в тему? Чтобы каждый мог сесть и посчитать рейтинг.
Мне кажется, посчитать процент побед каждой роли на каждую размерность за год будет слегка трудновато посчитать каждому вручную.

Не в пирожках мясо


посчитать процент побед каждой роли на каждую размерность за год будет слегка трудновато посчитать каждому вручную.
Трудновато построить похожую формулу по тем рассуждениям, которыми постоянно тычет ДВ. Вот это реально трудновато.
А посчитать процент побед, имея все логи партий, как раз не трудно.
Сколько нам осталось в этом грёбаном аду?...
Сообщение удалено модератором Властелин Ничего 18.05.2022 12:42:37


посчитать процент побед каждой роли на каждую размерность за год будет слегка трудновато посчитать каждому вручную.
Трудновато построить похожую формулу по тем рассуждениям, которыми постоянно тычет ДВ. Вот это реально трудновато.
А посчитать процент побед, имея все логи партий, как раз не трудно.Пожалуйста.
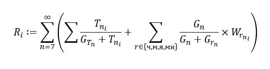
https://ss.mafiaonline.ru/tg/AgACAgIAAx … AADJAQ.jpg
спасибо, но неплохо бы расшифровку к переменным ещё.
Сколько нам осталось в этом грёбаном аду?...


Опечатался!
Ща поправлю.
«О гордости, предательстве и братстве закончена история моя! И если не посмеешь ты вмешаться, я закрываю книгу бытия…»


А нет.
Не опечатался.
Всё верно.

«О гордости, предательстве и братстве закончена история моя! И если не посмеешь ты вмешаться, я закрываю книгу бытия…»


А посчитать процент побед, имея все логи партий, как раз не трудно.
Ну-ка, какой процент был у партий на крестах за прошлый год? Мы ведь о ручном счете каждым говорим...

Не в пирожках мясо


понятно....
очень смешно
Сколько нам осталось в этом грёбаном аду?...


Лена, ну правда, если ты не можешь из тех опубликованных соображений сопоставить переменные, как ты планируешь пересчитывать трёхмерные массивы за 11 лет логов? 
«О гордости, предательстве и братстве закончена история моя! И если не посмеешь ты вмешаться, я закрываю книгу бытия…»


сли ты не можешь из тех опубликованных соображений
я уже пробовала в 2020м. Считала свой рейтинг и он у меня примерно совпал. Ты мне тогда сказал, что считаю неправильно, что функция логарифмическая.
Массивы за 11 лет я пересчитывать не собираюсь, а даже если бы собралась, то это точно не должно никого волновать. Сейчас речь идёт о самой формуле, насколько он корректна.
Сколько нам осталось в этом грёбаном аду?...


Varis
, я тут с Городом общаюсь, он со мной с позиции трололо никогда не общался, насколько я помню.)
С остальными бижулями — так, от скуки.
Биджо тебе прямо все сказал и что то на не выгодные тебе предложения ты даже ответить не смог , можешь распинаться и рассказывать сколько влезет , суть от этого не меняется , проект загибается , тема была об этом , а не о том что ты кому то нужен и кто и как с тобой общается,но смотрю тебя далеко занесло , вроде взрослый парень но понять что и как не можешь .
P.S мой тебе совет не переходи на личности своими кривыми подколками
не верьте слухам обо мне , Я еще хуже !!!


😂 хоть одно радует , что устал терпеть несправедливости и перестал играть и что то вкладывать сюда , даже копейки….
Значит это из-за тебя вводят ежемесячную подписку..
Учиха.


А нет.
Не опечатался.
Всё верно.
Не очень понятно, зачем нужен кэф W (ту старую тему пролистал, слишком много букв). Ну то есть, вроде примерно понятно, но можно ведь обойтись и без него 
Я бы рейтинг считал по следующей формуле:
R = sum(n_i * sum(v_i_r / (n_i_r + 1))) / (sum(n_i) + 1)
где n_i - число партий в составе i
n_i_r - число партий в составе i за команду r
v_i_r - число побед в составе i за команду r
Чем хороша эта формула? Дело в том, что значение sum(v_i_r / n_i_r) для "среднего" игрока равняется единице и не зависит от того, как часто в реальности побеждают за ту или иную команду в определенном составе. Поэтому этот рейтинг не уязвим к атаке выбора удобных составов по числу игроков, что кстати не так для рейтинга = число_побед/число_поражений. Если рейтинг игрока меньше 1, то он нублан его уровень ниже среднего, если больше 1 - выше. +1 в знаменателе - результат применения теорвера, на счет +1 в знаменателе большой дроби не уверен.
Наверное, можно еще как-то усложнить данный рейтинг, но не уверен, что это необходимо. Потому что идеально сделать никак не получится, любой рейтинг будет уязвим к атаке "играю только в тех составах, где мне сливают".
>>> gift()
>>> exit()

Я не знаю, что по формуле там, но рейтинг задротов точно уже можно составить по данной ветке. Не знаете куда применить свою вышку на мехмате? (макдональдсы же закрылись). Ну легко же сделать очень просто и всем понятно.
Игрок сыграл 10 партий (допустим месячный минимум) из них 6 побед. Базовый Коэф. = 6/10 = 0,6
2 победы за комиссара = 1,1*2 = 2,2
1 победа мафом = 1,2
Берем базовый Коэф. и его умножаем на индексы за роли = 0,6*2,2*1,2 = 1,584. Вот и рейтинг
Можно немножко докрутить, но логику вы поняли...а то херню какую-то устроили совсем.


рейтинг задротов точно уже можно составить по данной ветке
Как и рейтинг д*****бов
Отредактировано: Хоккинг (18.05.2022 19:06:21)
>>> gift()
>>> exit()


Хочется чего-то нового. 🤣
Опять тема на форуме, так тут сразу все «вечные» диспуты: проект загибается, ГА невменяемая, рейтинг некорректный, дайте больше открыточек.
Как будто в мафское детство вернулся. Спартака только не хватает.
Хотя новому времени — новые герои.)
Отредактировано: Vlad (18.05.2022 19:24:05)


Чак Норрис юмора, бью наповал!
[Желчный пузырь] весельчак не умеет играть! он умеет выигрывать!!